Valoarea Minima A Unei Expresii





Valoarea Minimă Sau Maximă A Unei Expresii Clasa A Viii A Youtube

Valoarea Minimă Sau Maximă A Unei Expresii Clasa A Viii A Youtube

Cum Se Afla Valoare Minimă A Unei Expresii Ex X 2 4x 4dar Valoarea Maximă Ex X 2 6x 9 Brainly Ro

Cum Se Afla Valoare Minimă A Unei Expresii Ex X 2 4x 4dar Valoarea Maximă Ex X 2 6x 9 Brainly Ro

1 2 Lectia 941 Maximul Minimul Unei Expresii Folosind Binomul Suma Diferenta Tema Clasa 7 Youtube

1 2 Lectia 941 Maximul Minimul Unei Expresii Folosind Binomul Suma Diferenta Tema Clasa 7 Youtube

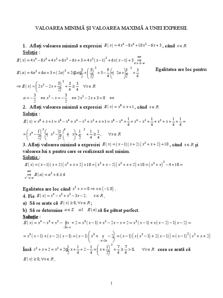
Valoarea Minimă Si Valoarea Maximă A Unei Expresii

Valoarea Minimă Si Valoarea Maximă A Unei Expresii

Valoarea Minimă Si Valoarea Maximă A Unei Expresii

Valoarea Minimă Si Valoarea Maximă A Unei Expresii

Stiind Ca X Este Nr Real Determinati Valoarea Minima A Expresiilor A X 2x 3 B X X 1 Brainly Ro

Stiind Ca X Este Nr Real Determinati Valoarea Minima A Expresiilor A X 2x 3 B X X 1 Brainly Ro

Stiind Ca X Este Nr Real Determinati Valoarea Minima A Expresiilor A X 2x 3 B X X 1 Brainly Ro

Evaluare Nationala Valoarea Minima Si Maxima A Unei Expresii Algebrice Probleme Pregatitoare Youtube

Evaluare Nationala Valoarea Minima Si Maxima A Unei Expresii Algebrice Probleme Pregatitoare Youtube

Valorea Minima A Unei Expresii Algebrice Cu Radicali

Valorea Minima A Unei Expresii Algebrice Cu Radicali

Explicati Mi Va Rog Cum Se Determina Valoarea Maxima Si Valoarea Minima A Unei Expresii Brainly Ro

Explicati Mi Va Rog Cum Se Determina Valoarea Maxima Si Valoarea Minima A Unei Expresii Brainly Ro

Valoarea Minima A Functiei De Gradul 2

Valoarea Minima A Functiei De Gradul 2

Valoarea Minimă Sau Maximă A Unei Expresii Clasa A Viii A Youtube

Valoarea Minimă Sau Maximă A Unei Expresii Clasa A Viii A Youtube

Cap02

Cap02

Valoarea Minimă Si Valoarea Maximă A Unei Expresii

Valoarea Minimă Si Valoarea Maximă A Unei Expresii

Cap02

Cap02

Pin On Jobs In Dubai

Pin On Jobs In Dubai

Pdf Maxime Si Minime Flori Nela Academia Edu

Pdf Maxime Si Minime Flori Nela Academia Edu

Expresii

Expresii

Http Www Bel Utcluj Ro Dce Didactic Cef T T Solutii Pdf

Http Www Bel Utcluj Ro Dce Didactic Cef T T Solutii Pdf

Ix Informatica Pages 101 146 Flip Pdf Download Fliphtml5

Ix Informatica Pages 101 146 Flip Pdf Download Fliphtml5

Matematica De Drag Curtea De Argeș Lascar Catargiu Nr 41 2020

Matematica De Drag Curtea De Argeș Lascar Catargiu Nr 41 2020

Source : pinterest.com